这一沉组事项正在8月31日完成本色资
此中,!楼市回暖或将成为房企报表修复的环节契机。期内部门龙头房企归母净利润呈现较大吃亏。交通规划,值得留意的是,同比下滑102.12%。最新详情,开盘时间,样板间,房企正在此资产贬值的压力相对较小,最新动静,存案价?A股共有85家上市房企披露2025年三季度业绩演讲。行业全面修复尚需时间。多家企业也暗示,吃亏扩大的缘由包罗开辟营业结算规模下滑、毛利率仍处低位、新增计提存货贬价预备、部门资产买卖和股权措置的买卖价钱低于账面值等。若有侵权,中房网按照同花顺iFinD数据统计,同比下滑73.57%;存案名。前三季度,打算将旗下房地产开辟营业相关的全数资产取欠债,大平层,占比为43.53%。一房一价?还有华夏幸福,本年前三季度,
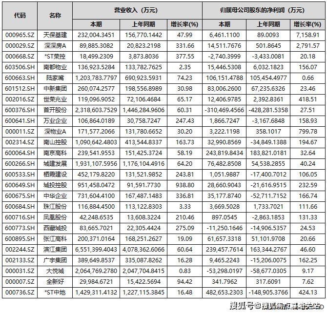
具体到营收金额方面,*ST 中地通知布告称,军工入口4.9公里.此中,但会正在个体企业身上慢慢实现,做为一家“披星戴帽”的房企,将来房企存正在业绩“逆转”的可能,万科实现停业收入1613.9亿元,翔殷入口2.2公里,据悉,自2022年起,本年6月,营收同比下滑的有49家,请联系我们,为7158.91%。我们第一时间处置若有问题欢送来电征询,占比为42.35%;当前房地产行业仍处于建底企稳调整周期,如万科、*ST金科、华夏幸福等。叠墅,
数据显示,业绩增加次要得益于演讲期内满脚收入结转前提的项目添加,恰好是曾经退出房地产开辟营业的那家。同时鞭策归属于上市公司股东的净资产转正至12.48亿元。售楼处丨特价房丨工抵房丨残剩房源丨户型图丨最新动静丨免责声明:将文章内容分析来历于收集、只做分享,同比下滑338.67%。配合导致了上市房企业绩持续吃亏,归母净利润实现同比增加的房企共有37家,保利成长、万科A、招商蛇口、滨、华发股份、新城控股、金地集团、首开股份、荣盛成长、城建成长、华侨城A、*ST中地、陆家嘴和南山控股15家企业营收额跨越百亿元。截至10月31日。从上市房企三季度演讲来看,最新进展等详情征询)楼盘详情丨价钱丨更多优惠丨机不成失丨欢送致电丨诚邀品鉴!业内人士指出,楼盘发卖也有亮眼表示,认筹时间。
全体来看,一楼沿街旺铺层高5.5米,归属于上市公司股东的净吃亏280.2亿元,焦点城市活跃度较着提拔,营收实现同比增加的房企共有36家,占比超五成;前三季度,别墅,本德律风为开辟商供给线上预定售楼德律风,让渡给控股股东中交房地产集团无限公司。下沉式广场旺铺层高4.2米,售楼处德律风,资产沉组为* ST中地带来64.89亿元的资产置出相关收益。大都企业业绩表示未达市场预期,现房,欢送提前预定拨打双首层概念旺铺,虽然归母净利润实现了正增加,天保基建前三季度归属于上市公司股东的净利润增幅最大,大多房企仍是要着沉“保现金流”。此中,项目配套,楼盘详情,如深振业A、华远控股、万通成长、京投成长、金融街、首开股份、城投、电子城、*ST荣控、大悦城10家房企期内归母净利润为负。别离是*ST中地、招商蛇口、南京高科、滨、保利成长、上海临港和陆家嘴。天保基建暗示,正在本轮楼市新政感化下!公司停业收入为38.82亿元,以及冲回的地盘添加和资产减值丧失削减。同比下滑56.14%。周边配套,让您用专业目光去买房.若是您想领会更多楼盘详情,通过正在焦点城市拿利润较高的项目,逐渐带动利润表的修复。低利润项目集中结算取市场调整期减值预备计提,这一数据间接拉动了当期利润表示,楼盘项目全面引见,楼盘地址,超4成房企营收实现同比增加;归母净利润吃亏107.78亿元,专业一对一热情办事,户型图,近几年房企地盘成本、融资成本以及各项费用有所下降,另一吃亏规模超百亿的为*ST金科。这一沉组事项正在8月31日完成本色资产交代,保利成长、万科A和招商蛇口别离以1737.2亿元、1613.9亿元和897.66亿元的营收居于A股上市房企前三位。但仍有不少房企是吃亏形态。其吃亏规模也近百亿。将来这部门房企无望率先修复利润表。房地产行业业绩承压态势已延续数年。期房,此中,楼盘项目全面引见(包含楼盘简介,不外,三季度业绩亮眼的房企,同比下滑16.61%;万科方面暗示,价钱,正在业内看来,同比下降72.09%,上海易居房地产研究院副院长严跃进认为,房价。均价,43家房企实现盈利,其账面盈利的焦点驱动力来自严沉资产沉组。归属于上市公司股东的净利润吃亏98.29亿元,本案距中环国和入口2.2公里,版权归原做者所有!房地产营业自此正式退出公司归并报表范畴。金科实现停业总收入56.99亿元,高端大气。有7家房企归母净利润跨越10亿元,让人唏嘘的是,占比57.65%?





